- 質量穩定:實行全過程質量監控,細致入微,*********檢測!
- 價格合理:有效內部成本控制,減少了開支,讓利于客戶!
- 交貨快捷:xj****生產流水線,充足的備貨,縮短了交貨期!
電 話:021-66875077 17316332559
傳 真:021-66875077
QQ:2433513866
郵 箱:shlyyb@126.com
電 話:021-66875077 17316332559
傳 真:021-66875077
QQ:2433513866
郵 箱:shlyyb@126.com
概述
平衡流量計是在標準孔板和流動調整器的基礎上研發的一種新型節流式流量傳感器。平衡流量計可用于各種擾動的下游,以***短的直管段敷設提供******的性能。
測量原理
平衡流量計是一種節流式流量傳感器。它采用調整器式的孔板結構,可以應用在上游有擾動流場因素的場合。
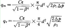
流量計算公式:
式中:qm ,qv——分別為質量流量(㎏/s)和體積流量(m 3/s);
C——流出系數 ;
ε——可膨脹性系數;
d——節流件開孔直徑,m;
β——直徑比,β=d/D;
D——管道內經,m;
ρ1——被測流體密度,㎏/m 3;
Δp——差壓,Pa;
特點
1、線性度高、重復性好
平衡流量傳感器具有對稱多孔結構特點,能對流場進行平衡,降低了渦流、振動和信號噪聲,流場穩定性大大提高,使線性度比孔板提升了5~10倍,重復性提高了54%,為0.15%,從其綜合性能來看,平衡流量計屬于高檔流量計行列。
2、直管段要求低
平衡流量傳感器由于流場穩定,且壓力恢復比孔板快兩倍,大大所短了對直管段的要求,其前后直管段一般為前3D后1D,***小可以小于0.5D,從而省去大量直管段,尤其是特殊昂貴材料的管道。
3、減少長久壓力損失
多孔對稱的平衡設計,減少了紊流剪切力和渦流的形成,降低了動能的損失,在同樣的測量工況下,與孔板相比減少了2.5倍的長久壓力損失,從而節省了相當大的運行能量成本,是一種節能型儀表。
4、耐臟污不易堵
多孔對稱的平衡設計,減少了紊流剪切力和渦流的形成,從而大大降低了滯留死區的形成,保證臟污介質順利通過多個孔,減小了流體孔被堵塞的機會。
5、可直接替換孔板
平衡流量傳感器與孔板具有相同的使用方法和外形,因此可以直接進行替換,不需要任何配管的變化和相關儀表的更改,很適合全廠能源計量改造中將孔板改為平衡流量計。
6、流量測量范圍寬
根據試驗結果,我們了解到:平衡流量計的性能,使其流速可以從***小到音速;其***小雷諾數可低于200,***大雷諾數大于10 7;β值可選0.25~0.90。
7、長期穩定性好
由于其紊流剪切力的明顯減小,大幅度降低了介質與節流件直接的摩擦,其β值長期保持不變,整個儀表無可動部件,因此可以長期保持穩定性。
8、可測高溫高壓介質
與孔板等節流裝置一樣,工作溫度壓力取決于管道和法蘭的材質和等級,工作溫度可達850℃,工作壓力可達42MPa。
9、可測復雜工況介質
由于其特殊的結構設計,使其具有特殊的性能,它可以進行氣液兩相、泥漿,甚至固體顆粒測量。平衡流量可以測雙向流。
主要技術參數
1.管道尺寸:15 ≤D≤ 600 mm(超出此范圍可特殊訂貨)
2.公稱壓力:PN≤16MPa(超出此范圍可特殊訂貨)
3.孔徑比:0.25≤β≤0.90
4.雷諾數范圍:當0.25≤β≤0.90時,200≤ReD≥10 7
5.精度:0.5級
結構形式
平衡流量計采用法蘭取壓方式,見圖1、圖2
安裝直管道要求(數值以管徑D倍數表示)
relatedcontent
2017-01