- 質量穩定:實行全過程質量監控,細致入微,*********檢測!
- 價格合理:有效內部成本控制,減少了開支,讓利于客戶!
- 交貨快捷:xj****生產流水線,充足的備貨,縮短了交貨期!
電 話:021-66875077 17316332559
傳 真:021-66875077
QQ:2433513866
郵 箱:shlyyb@126.com
電 話:021-66875077 17316332559
傳 真:021-66875077
QQ:2433513866
郵 箱:shlyyb@126.com
概述
均速管亦稱阿牛巴、笛管。均速管是在皮托管測速原理的基礎上發展而來的,由于壓損小、制造成本低、安裝維護方便,各國都有廣泛適用。
工作原理
均速管的測量原理是將整個圓截面分成多個單元面積相等的圓環(中間為圓)。均速管的檢測桿是一根中空的金屬管。
適用范圍
1、 公稱壓力:25mm≤DN≤6000mm
2、 公稱壓力:PN≤25MPa
3、 介質溫度:t≤650℃
4、 精度等級:1級,1.5級,2.5級
結構形式
均速管是檢測桿、取壓口和導桿組成,它橫穿管道內部與管軸垂直,在檢測桿迎流面上設有多個總壓檢測孔,分別由總壓導壓管和靜壓導壓管引出,根據總壓與靜壓的差壓值,計算流經管道流量。檢測桿的截面形狀見下圖:
理論基礎
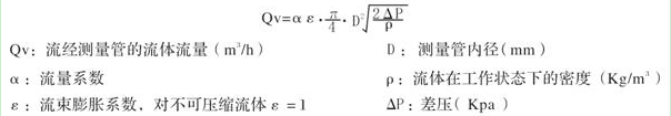
均速管流量計是基于皮托管測速原理上發展起來的,它是通過管道的平均流速及管道的有效截面積的乘積來確定流量的。
它的流量計算公式為:
安裝要求
1、 安裝檢測桿的測量段應是直的,其上下游直管段長度參照下表所規定的長度。
| 序號 | 上游側局部阻力件形式 | 上游側 | 下 游 側 | ||
| 無整流器 | 有整流器 | ||||
| 與檢測桿在同一平面內 | 與檢測桿不在同一平面內 | ||||
| 1 | 有一個90°彎頭或三通 | 7D | 9D | 6D | 3D |
| 2 | 在同一平面內有兩個90°彎頭 * * | 9D | 14D | 8D | 3D |
| 3 | 在不同一平面內有兩個90°彎頭 * * | 19D | 24D | 9D | 4D |
| 4 | 管道直徑改變(收或擴) | 8D | 8D | 8D | 3D |
| 5 | 部分開啟的閘閥、球閥或其它節流閥 | 24D | 24D | 9D | 4D |
注:*D為管道標稱直徑,所給出數據為距離第二個彎頭的長度。
2、 檢測桿插入位置的角度允許偏差范圍見圖五。
3、 對于垂直管道,檢測桿可安裝在管道水平面沿管道圓周360°的任何位置上,高低壓引壓管接頭應處于同一水平面上。對于水平管道,在測量液體時檢測桿插入位置應位于管道橫截面水平面中心線45°以下的范圍內;測量氣體時檢測桿插入位置應位于管道橫截面水平面中心線45°以上的范圍內;測量蒸汽時檢測桿應水平插入,見圖六:
4、 管道上開孔尺寸Φ40。
5、 補償用壓力變送器在前直管段上,溫度變送器(或鉑電阻)裝在后直管段上距離節流裝置2D處。
relatedcontent
2017-01